
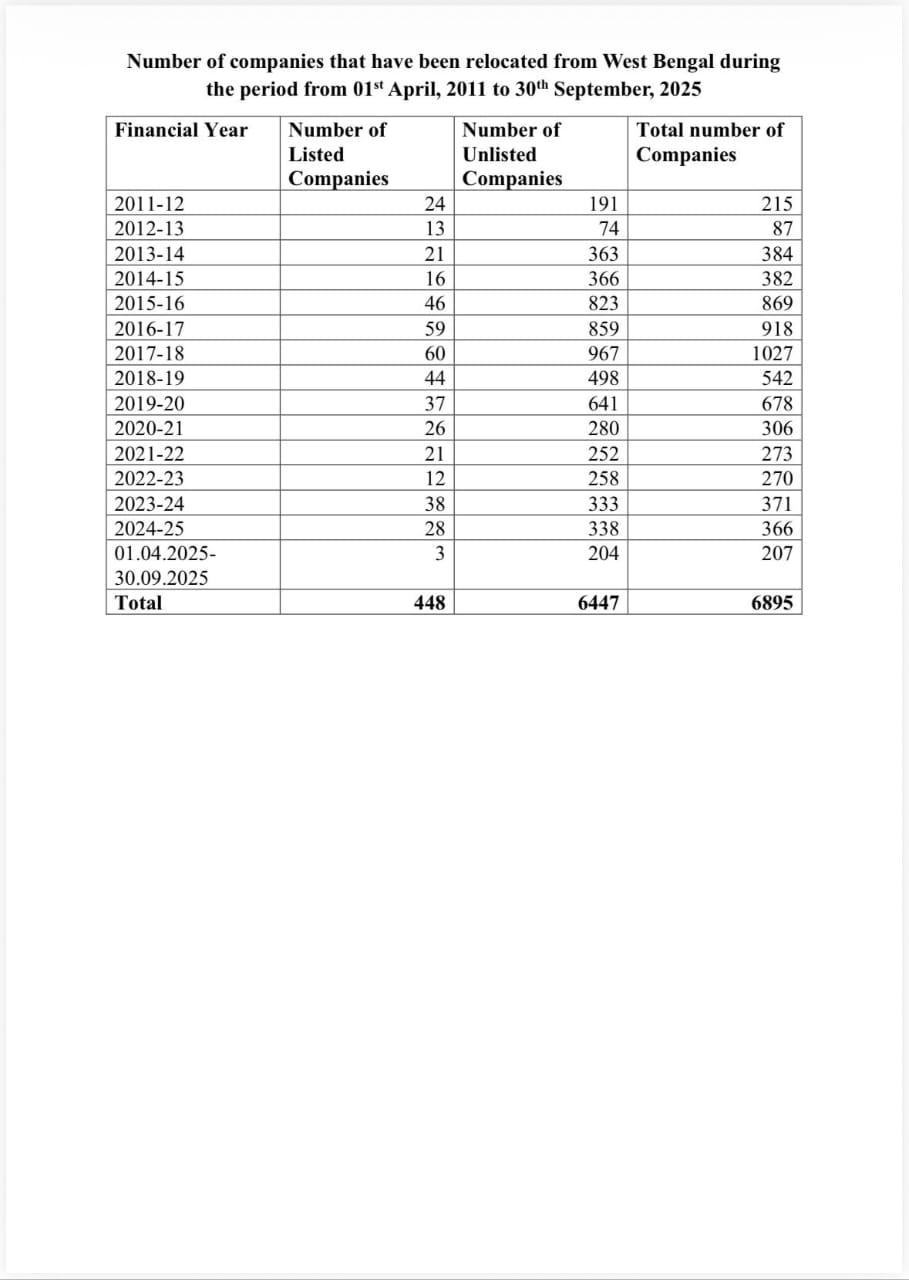
খগেন-শঙ্করদের উপর হামলা নিয়ে এনআইএ (NIA) তদন্ত দাবি শমীক ভট্টাচার্যেরশেষ ছ’ মাসে পশ্চিমবঙ্গ থেকে ২০৭টি সংস্থা সরে গেছে, কেন্দ্রীয় কর্পোরেট বিষয়ক মন্ত্রকের রিপোর্ট দেখিয়ে এমনই বিস্ফোরক দাবি করলেন বিজেপির রাজ্য সভাপতি ও সাংসদ শমীক ভট্টাচার্য। তাঁর প্রশ্নের উত্তরে মন্ত্রক জানিয়েছে, মুখ্যমন্ত্রী মমতা বন্দ্যোপাধ্যায়ের ক্ষমতায় আসার পর এখন পর্যন্ত মোট ৬,৮৯৫টি কোম্পানি রাজ্য ছেড়েছে। সঙ্গে জমা হয়েছে ২২৩ পাতার একটি তালিকা, যেখানে স্পষ্ট উল্লেখ রয়েছে, কোন সংস্থা কোন বছর কলকাতা বা জেলা সদর থেকে অফিস বা ব্যবসা অন্য রাজ্যে সরিয়ে নিয়েছে।
তালিকায় রয়েছে ছোট থেকে বড়, বহু উচ্চ-মার্কেট ক্যাপের লিস্টেড কোম্পানিও। গত কয়েক বছরে যেসব বড় প্রতিষ্ঠান পশ্চিমবঙ্গ থেকে কার্যক্রম গুটিয়ে নিয়েছে, তাদের মধ্যে উল্লেখযোগ্য
১। Netweb Technologies – ১৮,২৬৫ কোটি
২। Gallant Ispat – ১৪,২২৭ কোটি
৩। Eureka Forbes – ১২,৫০৯ কোটি
৪। JK Tyre – ১২,৪৮১ কোটি
৫। Sanathan Textiles – ৩,৯৫৮ কোটি

৬। Greenpanel Industries – ৩,০৩৩ কোটি
৭। National Standard – ২,৮১৯ কোটি
৮। Cropster Agro – ₹১,৭৬৯ কোটি
৯। Associated Alcohols – ১,৮৫৩ কোটি
১০। Magellanic Cloud – ১,৫১০ কোটি
১১। Panorama Studios – ১,৩১৩ কোটি
১২। Abans Financial Services – ১,০১৯ কোটি
১৩। Century Enka – ১,০০০ কোটি
১৪। Elin Electronics – ৮৮৮ কোটি
১৫। Gretex Corporate Services – ৮০৫ কোটি

তথ্যপ্রযুক্তি, স্টিল, ফাইন্যান্স,প্রায় সব সেক্টর থেকেই সংস্থাগুলির একাংশ অন্য রাজ্যে স্থানান্তরিত হয়েছে, যা শিল্পমহলে উদ্বেগ বাড়িয়েছে।
এই রিপোর্ট সামনে আসতেই রাজনৈতিক অঙ্গনে তৈরি হয়েছে তীব্র বিতর্ক। বিজেপির অভিযোগ, শিল্প-বান্ধব পরিবেশের অভাব, প্রশাসনিক জটিলতা ও নীতি-অস্থিরতার কারণেই কোম্পানিগুলি রাজ্য ছাড়ছে। তবে এ বিষয়ে এখনও রাজ্য সরকারের পক্ষ থেকে কোনও আনুষ্ঠানিক প্রতিক্রিয়া মেলেনি।